何かの平均を求めて全体の傾向を見る調査はしばしば行なわれる。 あるサンプルの平均値が特定の値を取りうるかの検定はt検定を用いる。
Rを用いて,平均値の大小比較のt検定を行なう場合は以下の手順による。
2組のサンプルの各要素が1対1対応するものどうしか吟味する
対応するものどうしなら 「対応のある2組の平均値の差の検定」を,ないものどうしなら 「対応のない2組の平均値の差の検定」を行なう。
実験などで,同じ被検者に対して何か1つだけ条件を変えて同じ 作業をやらせたような場合,あるいは同一の機械のあるひとつの部品だけを 変えて同じことの測定を行なったような場合は,各測定値に対応が「ある」。
このような場合,同じ大きさの標本が2つあることになる。
Rでは,t.test() 関数に標本を含む2つのベクトルと
paired=T 引数を与えることで検定できる。
8人の被験者が公益軒とかんかんラーメンの激辛プリンを 試食し,以下のような得点をつけた。
| 被験者 | 公益軒 | かんかん |
|---|---|---|
| 1 | 90 | 95 |
| 2 | 75 | 80 |
| 3 | 75 | 80 |
| 4 | 75 | 80 |
| 5 | 80 | 75 |
| 6 | 65 | 75 |
| 7 | 75 | 80 |
| 8 | 80 | 85 |
2店の激辛プリンの評価に有意な差が認められると言ってよいか。
まず,店舗ごとの評価をベクトル化して変数に代入しておく。
koeki.pudding <- c(90,75,75,75,80,65,75,80) kankan.pudding <- c(95,80,80,80,75,75,80,85)
この検定では以下の仮説を置く。
帰無仮説: 2店の激辛プリンの評価には有意な差がない
対立仮説: 2店の激辛プリンの評価には有意な差がないとは言えない
これを有意水準5%(0.05)で検定する。
t.test() 関数による検定先に述べたとおり対応のある2組の平均の差の検定は,
t.test() に paired=T を与えればよい。
t.test(koeki.pudding, kankan.pudding, paired=T)
Paired t-test
data: koeki.pudding and kankan.pudding
t = -2.9656, df = 7, p-value = 0.02094
alternative hypothesis: true difference in means is not equal to 0
95 percent confidence interval:
-7.8633933 -0.8866067
sample estimates:
mean of the differences
-4.375
自由度7(df=7)のt値が-2.9656で,このときのp値は約0.02,つまり2%であり, ここまで読んで有意水準5%では棄却されることが分かる。 95%信頼区間が -7.86 〜 -0.89 であるから,本来の平均の差の値は, 95%の確率でその範囲内に入る。つまり95%の確率で 「差が0であることにはならない」ということが言える。
各測定値の差をもとに,実際にt値を計算して検定して確認してみる。
変数 x の各種統計量を求める関数は以下のとおり。
| 平均 | mean(x) |
| 分散 | var(x) |
| 大きさ | length(x) |
対応のある2組の平均値のt値は以下のように求められる。
ただし,
: 平均
σ: 標準偏差(不偏分散の平方根,推定標準偏差)
: (推定)平均
n: 標本の大きさ
である。
まず,各店の激辛プリンの評価点の差を保持するベクトルを作る。
diff <- koeki.pudding-kankan.pudding diff [1] -5 -5 -5 -5 5 -10 -5 -5
このベクトルから,式[1] に従いt値を求める。
n <- length(diff) (mean(diff) - 0)/sd(diff)*sqrt(n) [1] -2.965615
-2.965615は,t.test() が出したt値と一致する。
自由度7のt分布で,t≦-2.965615 となる確率は,pt()
関数で求められる。

pt(t値, 自由度) とすると,指定した自由度で
指定したt値以下を取る確率が求められる。今回は両側検定なので
値を2倍して
2*pt(-2.965615, 7)
[1] 0.02093757
となる。
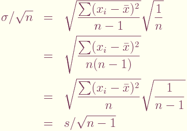
ところで,式[1]の最初の分母である σ/√n のσは, 推定標準偏差であるから
である。したがって
(sは標本標準偏差)となり,これは 対応のある t検定と対応のないt検定の式と一致する。
公益軒とかんかんラーメン のカレーラーメンの味について,無作為抽出して採点したもらった 8人×2組のデータについて考える。
| 公益軒 | 点数 | かんかん | 点数 |
|---|---|---|---|
| 1 | 70 | 1 | 85 |
| 2 | 75 | 2 | 80 |
| 3 | 70 | 3 | 95 |
| 4 | 85 | 4 | 70 |
| 5 | 90 | 5 | 80 |
| 6 | 70 | 6 | 75 |
| 7 | 80 | 7 | 80 |
| 8 | 75 | 8 | 90 |
| 平均 | 76.88 | 平均 | 81.88 |
2組のデータに1〜8の番号がついているが,これらは同じ番号でも 互いに全く関連がないことに注意する。
帰無仮説,対立仮説を以下のように定める。
対応のない2組の平均値の差の検定については,
t.test() 関数で求める方法を示すに留める。
t.test() 関数による検定(独立2群)以下の手順で検定を行なう。
ブラウザの表をコピーしてRのtableに読み込んで作業する例を示す。
上のカレーラーメン評価表の評価者1から評価者8までの行を すべて選択してクリップボードにコピーする。
read.table("clipboard") でどうなるか視認する。
read.table("clipboard")
V1 V2 V3 V4
1 1 70 1 85
2 2 75 2 80
3 3 70 3 95
4 4 85 4 70
5 5 90 5 80
6 6 70 6 75
7 7 80 7 80
8 8 75 8 90
第2列と第4列に各店舗の評価ベクトルが入るので 2,4列を抽出したものを変数に代入する。
curry <- read.table("clipboard")[,c(2,4)] curry V2 V4 1 70 85 2 75 80 3 70 95 4 85 70 5 90 80 6 70 75 7 80 80 8 75 90
(やらなくてもよいが)わかりやすいようラベルをつけ直す。
names(curry) <- c('koeki', 'kankan') curry koeki kankan 1 70 85 2 75 80 3 70 95 4 85 70 5 90 80 6 70 75 7 80 80 8 75 90
これで店ごとの評価点ベクトルをそれぞれ
curry$koeki, curry$kankan で取り出せる。
curry[,1],curry[,2] でもよい。
以上の手順で必要なデータがデータフレームに得られた。
2店舗の評価点を t.test() 関数に渡す。
2つのベクトルに加え,var.equal=T
を与えると「対応のない2組の平均値の差」の
検定となる。
t.test(curry$koeki, curry$kankan, var.equal=T)
Two Sample t-test
data: curry$koeki and curry$kankan
t = -1.2881, df = 14, p-value = 0.2186
alternative hypothesis: true difference in means is not equal to 0
95 percent confidence interval:
-13.325244 3.325244
sample estimates:
mean of x mean of y
76.875 81.875
t値は-1.29,自由度14でのこのときのp値は0.219(=21.9%)なので 帰無仮説は棄却されない。つまり,有意な差があるとは言えない。
ラーメンの味の評価は,点数の分布状況が等質であることが予想できる。 このような場合には,上で説明した「対応のある2組の平均の差の検定」, 「対応のない2組の平均の差の検定」いずれかを用いるのが妥当である。
いっぽう等質であると言えない場合はWelchの検定を用いる。
Rでは t.test() で2ベクトルと
var.equal=F, paired=F を与えるとWelchの検定を行なう。
t.test() に2ベクトルを与えたときのデフォルトでもある。
表: カレーラーメン評価表 の調査と同時期に,かんかんらーめんのカレーラーメンを 別の箇所で無作為抽出で試食者を選び評点を集めていた。
| 公益軒 | 点数 | かんかん | 点数 |
|---|---|---|---|
| 1 | 70 | 9 | 100 |
| 2 | 75 | 10 | 80 |
| 3 | 70 | 11 | 98 |
| 4 | 85 | 12 | 90 |
| 5 | 90 | 13 | 80 |
| 6 | 70 | 14 | 65 |
| 7 | 80 | 15 | 50 |
| 8 | 75 | 16 | 90 |
| 平均 | 76.88 | 平均 | 81.63 |
| 母分散 | 49.61 | 母分散 | 253.48 |
| 不偏分散 | 56.70 | 不偏分散 | 289.70 |
このかんかんラーメンの調査者は,平均は同様だが評価点のバラツキが 他箇所での調査より大きいことが分散の大きさから見て取れる。
このような場合は,Welchの検定を行なう。
t.test() 関数による検定(独立2群,分散非等質)表カレーラーメン評価(2) の
2行目から9行目(得点のある行すべて)を領域選択でコピーし,
2列目と4列目のみ取り出したデータフレームを作る。
(領域コピーしてから以下の操作)
(cur2 <- read.table("clipboard")[,c(2,4)])
V2 V4
1 70 100
2 75 80
3 70 98
4 85 90
5 90 80
6 70 65
7 80 50
8 75 90
分散が等質であるかは var.test() 関数で行なえるが,
近年,等分散検査をせずにWelchの検定を行なうのがよいという説が
有力になりつつある
(→
二群の等分散性の検定)。
# 公益軒の評点の分散 var(cur2[,1]) [1] 56.69643 # かんかんの評点(その2)の分散 var(cur2[,2]) [1] 289.6964 # 2つの分散が等しいかの検定(F検定) var.test(cur2[,1], cur2[,2]) F test to compare two variances data: cur2[, 1] and cur2[, 2] F = 0.1957, num df = 7, denom df = 7, p-value = 0.04711 alternative hypothesis: true ratio of variances is not equal to 1 95 percent confidence interval: 0.03918185 0.97755266 sample estimates: ratio of variances 0.1957098
p値 0.047(=4.7%)なので,分散は等しいとは言えない。
2つの標本の平均値が等しいかをWelchの検定で行なう。
t.test(cur2[,1], cur2[,2], var.equal=F)
Welch Two Sample t-test
data: cur2[, 1] and cur2[, 2]
t = -0.7219, df = 9.639, p-value = 0.4875
alternative hypothesis: true difference in means is not equal to 0
95 percent confidence interval:
-19.486414 9.986414
sample estimates:
mean of x mean of y
76.875 81.625
分散の等質性(分布の同様性)があることが明らかでない場合や,
2群のサンプルサイズが等しくない場合には,最初からWelchの検定を
行なってよい。Rの t.test()
関数のデフォルトに従うのが賢明な選択と言える。
平均が異なるかどうかを吟味するのは両側検定である。
2組の平均のどちらかがもう片方より大きい(あるいは小さい)かどうかを
吟味する場合は片側検定を行なう。Rではこの場合,関数の
引数に alternative="……" を与えて切り替えを行なう。
代入する値は "greater", "less"
のいずれかである。
公益軒ではカレーラーメンをもっとヒットさせるべく, 味の改良を行なった。しかし本当に受けがよいのか調べるため, ある日の客20人を無作為に選び, 全く同じカレーラーメンという名前で旧版と新版をそれぞれ 10人ずつに食べてもらい,評点をつけてもらった。 そのときの結果が以下の表である(番号は単なる数え上げで, 同じ番号どうしの客に関連はない)。
| 旧 | 点数 | 新 | 点数 |
|---|---|---|---|
| 1 | 65 | 1 | 90 |
| 2 | 70 | 2 | 50 |
| 3 | 75 | 3 | 70 |
| 4 | 80 | 4 | 90 |
| 5 | 85 | 5 | 75 |
| 6 | 60 | 6 | 75 |
| 7 | 70 | 7 | 85 |
| 8 | 80 | 8 | 90 |
| 9 | 70 | 9 | 95 |
| 10 | 70 | 10 | 40 |
| 平均 | 76.88 | 平均 | 81.88 |
一見新カレーラーメンの方が良さそうだが,偶然甘い評価をする人々に 当たっただけということはないだろうか。
単に,評価が違うことを検定するのであれば帰無仮説と対立仮説を 以下のように据える(両側検定)。
帰無仮説: 新旧ラーメンの評価は同じ
対立仮説: 新旧ラーメンの評価は同じとは言えない
しかし,帰無仮説が棄却されたとしても,「評価が違うらしい」 という結論が得られても店にとってはうれしくない。ここは 「新ラーメンの方が高い評価である」と大小をはっきりさせたい。
このような場合は,棄却域を片側だけに取る。
帰無仮説: 新ラーメンの評価は旧ラーメンを超えない
対立仮説: 新ラーメンの評価は旧ラーメン以下ではない
帰無仮説の棄却域5%を分布の片側だけに持って来る。
この場合,対立仮説で第1引数(旧ラーメン)が第2引数(新ラーメン)
より小さくあってほしいので t.test() に
alternative="less" を与える。以下実行例を示す。
# 新旧カレーラーメン評価表の評点部分を領域をコピーしてから newc <- read.table("clipboard")[,c(2,4)] newc V2 V4 1 65 90 2 70 60 3 75 80 4 80 95 5 85 75 6 60 85 7 90 95 8 80 90 9 70 95 10 70 40 t.test(newc[,1], newc[,2], alternative="less") Welch Two Sample t-test data: newc[, 1] and newc[, 2] t = -0.9364, df = 13.447, p-value = 0.1828 alternative hypothesis: true difference in means is less than 0 95 percent confidence interval: -Inf 5.318399 sample estimates: mean of x mean of y 74.5 80.5
これによると,第1引数(旧)のほうが第2引数(新)より高い平均値を 持つ場合でも,このような結果が約18%程度は出ることが分かり, 帰無仮説は棄却されない。
確実にヒットをねらうなら,より高い評価が得られる改良をすべきだろう。
新製品のチーズラーメンの評価を集めた。
| 公益軒の 試食者 | 評点 | かんかんの 試食者 | 評点 |
|---|---|---|---|
| 1 | 80 | 1 | 75 |
| 2 | 75 | 2 | 65 |
| 3 | 80 | 3 | 80 |
| 4 | 95 | 4 | 85 |
| 5 | 90 | 5 | 75 |
| 6 | 80 | 6 | 80 |
| 7 | 85 | 7 | 80 |
| 8 | 90 | 8 | 70 |
この調査結果をもとにして,両店舗の評価を比較したい。 以下の問に答えよ。
上の問のチーズラーメンの試食者の各番号を振られた人が、 どちらも同一人物だった場合はどうなるか。前問と同じ流れで検定せよ。
ある番組でこのような結果提示ががあった。
10人の被験者を5人ずつの2グループA,Bに分けてダイエット実験をした。 グループAの人にはダイエット薬と称してこんにゃく粉末を, グループBの人には「んめちゃダイエット」を,いずれも10日間摂取させ 体重の増減を調べた。10人の実験前後の体重減少(kg)は以下のとおりであった。
こんにゃく粉末 んめちゃダイエット 1.6 3.3 2.1 4.9 2.5 2.9 -2.4 2.2 3.1 -0.1 平均 1.38 2.64 この結果を得て,司会者は「最も効果のあった人は5kg近く, それに平均でなんと2倍ものダイエット効果があります!」と結論づけた。
この商品の宣伝文句に偽りなし,といってよいだろうか。
帰無仮説を立てよ。
対立仮説を立てよ。
Rを用いて検定せよ。
第4回 t検定 の[14]のレポート課題(2問とも)を,Rを用いて解け。 計算に関る手順はすべてRに任せてよい。
宛先 sip-12-21@e.koeki-u.ac.jp
締切 6日後
Subjectに Student test と書き,本文の先頭に 氏名,学籍番号を入れ,その後の本体を以下のようにする。
解答の検定部分は,Rに対する入力と出力を本文内に貼り付ける。 ただし,検定の手順に関する言葉は正確に記述すること。
各設問に対する解答は,
を詳しく記述すること。
yuuji@e.koeki-u.ac.jp